Energie

Wenn man an einem Körper Arbeit leistet, ihm Arbeit "zuführt", dann ist diese Arbeit oft im neuen Zustand des Körpers gespeichert. Man kann ihm später diese Arbeit wieder entnehmen.

  • Geleistete Beschleunigungsarbeit führt der Körper in Form seiner Bewegung mit sich, man nennt sie kinetische Energie. Die genaue Art der Beschleunigung (gleichförmig, etc) ist für die kinetische Energie nicht wichtig. Sie wird beim Massenpunkt immer durch folgenden Ausdruck berechnet:
  • E(kin)

    In der folgenden Simulation wird eine Kugel mit einer konstanten Kraft während einer Sekunde beschleunigt. Während die äussere Kraft Beschleunigungsarbeit verrichtet, baut sich die kinetische Energie auf. Sobald die Kraft verschwindet, bleibt diese Energie konstant:

    Der Körper kann seine kinetische Energie zum Beispiel dadurch wieder abgeben, dass er bei einem Aufprall eine Scheibe zerstört.

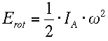
  • Auch wenn ein Körper sich dreht, sind die Massenanteile des Körpers in Bewegung, enthalten also Bewegungsenergie, auch Rotationsenergie genannt. Diese Energie kann mit dem Trägheitsmoment und der Winkelgeschwindigkeit berechnet werden:
  • Rotationsenergie

    Die Simulation zeigt, wie sich die Rotationsenergie aufbaut, wenn ein Körper durch eine Kraft (bzw. ein Drehmoment) in Drehung versetzt wird:


    Andere Arbeitsleistungen führen zur potentiellen Energie, auch Energie der Lage genannt:

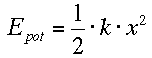
  • Die Spannarbeit, mit der eine Feder gespannt wird, ist im neuen Deformationszustand der Feder gespeichert. Sie errechnet sich zu:
  • Spannenergie

    Die Simulation zeigt die äussere Kraft, die die Feder spannt, und die dabei aufgebaute Deformationsenergie:

    Die Feder kann diese Arbeit später wieder abgeben, indem sie zum Beispiel wie bei der Steinschleuder einen anderen Körper beschleunigt.

  • Auch gegen die Schwerkraft geleistete Hubarbeit ist nachher in der neuen (Höhen-) lage des Körpers gespeichert.
  • Höhenenergie

    Die Simulation zeigt, wie beim Anheben eines Körpers gegen die Schwerkraft potentielle Energie aufgebaut wird:

    Wenn man den Körper fallenlässt, wird sie dem Körper (über die Beschleunigungsarbeit) gleichviel kinetische Energie erteilen.

  • Zwei elektrisch geladene Körper unterliegen der Coulombkraft. Sie ist abstossend, wenn die Ladungen gleiches Vorzeichen haben. Wenn man zwei Punktladungen mit einer äusseren Kraft aufeinander zu bewegt, dann ist das vergleichbar mit einer Feder, die man spannt. Es wird dabei potentielle Energie aufgebaut. Diese Coulombenergie hängt von der Grösse der Ladungen und dem Abstand ab:
  • Coulombenergie

    Sie ist so normiert, dass sie für unendlich grossen Abstand verschwindet.

    In der folgenden Simulation ist die Arbeit dargestellt, die man aufwenden muss, um zwei gleichartig geladenen Punktladungen einander anzunähern. Man sieht die rot die elektrostatische Abstossungskraft, und mit den grossen Pfeile die äussere Kraft, die die Energie des Systems vergrössert. Da wir nicht mit unendlich grossem Abstand starten, gibt es eine konstante Differenz zwischen der verrichteten Arbeit und der Coulombenergie:

    Andere Arbeitsleistungen wie die Reibarbeit führen zur Erwärmung der Reibflächen, diese Arbeit kann jedoch nicht vollständig zum Inhaltsverzeichnisgewonnen werden, sie erhöht aber die innere Energie der beteiligten Körper, was sich zB in der erhöhten Temperatur äussert.

    zum Inhaltsverzeichnis