Barometerformel

Die Luft der Atmosphäre besitzt im Schwerefeld der Erde ein Gewicht, die Gewichtskraft pro Fläche erzeugt in der Folge einen Schweredruck. Dieser Schweredruck ist bei inkompressiblen Flüssigkeiten proportional zur Flüssigkeitstiefe.

Gase / Flüssigkeiten

Gase sind jedoch komprimierbar, damit wird die Dichte ebenfalls eine Funktion des Drucks und der Gewichtsdruck wird eine kompliziertere Funktion der Tiefe bzw. Höhe.

Unter der Voraussetzung, dass sich die Dichte des Gases auf jeder Höhe bekannt ist, kann jedoch die Druckänderung pro Höhenstufe differentiell angegeben werden:

dp/dh

Zusammen mit dem idealen Gasgesetz pV=NkT liefert dies eine Möglichkeit, die Druck-Höhen Abhängigkeit numerisch zu berechnen.

Barometer-Excel

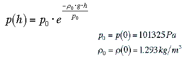
Dabei muss der Temperaturverlauf mit der Höhe bekannt sein, üblich ist ein Temperaturgradient von ca -0.8K/100m. Falls speziell Isothermie vorausgesetzt wird, erhält man eine analytische Lösung der Differentialgleichung: die bekannte barometrische Höhenformel.

Barometer-Excel

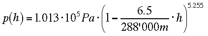
Die sogenannte internationale Höhenformel stimmt besser mit den realen Druckverhältnissen in der Atmosphäre überein, sie lautet:

Internat. Höhenformel

In den Abbildungen sind die Resultate der unterschiedlichen Berechnungsarten aufgezeigt.

Internat. Höhenformel Vergleich mit Barometer

zum Inhaltsverzeichnis